Please note: This site contains links to websites not controlled by the Australian Government or ESA. More information here.
Mixed numbers inquiry
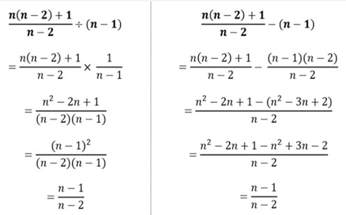
In this prompt students explore the connection between subtraction and division. Start by asking if the prompt is true, look for other examples and then work towards finding a general rule. The resource includes the prompt, teacher notes, guided questions and a solution.
Additional details |
|
| Year level(s) | Year 10 |
|---|---|
| Audience | Teacher |
| Purpose | Assessment task, Extension, Student task, Teaching resource |
| Format | Downloadable resources |
| Teaching strategies and pedagogical approaches | Collaborative learning, Differentiated teaching, Explicit teaching, Feedback, Mathematics investigation |
| Keywords | fraction, mixed number, division, subtraction |
Curriculum alignment |
|
| Curriculum connections | Critical and creative thinking, Numeracy |
| Strand and focus | Number, Apply understanding, Build understanding |
| Topics | Fractions |
| AC: Mathematics (V9.0) content descriptions |
AC9M10A01
Expand, factorise and simplify expressions and solve equations algebraically, applying exponent laws involving products, quotients and powers of variables, and the distributive property |
| Numeracy progression |
Number patterns and algebraic thinking (P9)
|
Copyright details |
|
| Organisation | Inquiry Maths |
| Copyright | © Andrew Blair 2012-21. Creative Commons BY-NC-SA 4.0. |
Related resources
-
Mathematical processes
Different topics in maths use different mathematical processes to guide students' mathematical inquiry.
Resource details -
Educational Datasets
These teacher guides describe the datasets for teachers and provide a range of lesson activities for students in Years 3 to 10. Datasets are grouped according to where the data's context fits into learning areas of the Australian Curriculum.
Resource details -
Mastery in Mathematics
A full year’s worth of high-quality, evidence-based and adaptable teaching resources for Years 7 - 10 mathematics teachers.
Resource details -
WS04 - Polynomial math art
Use this work sample to guide assessment of students' knowledge and skills in the use of mathematical modelling to solve problems involving change in applied contexts, choosing to use linear and quadratic functions.
Resource details -
WS03 - Predict a winner
Use this work sample to guide assessment of students' knowledge and skills in planning and conducting statistical investigations involving bivariate data.
Resource details -
WS02 - Proof and conjecture
Use this work sample to guide assessment of students' knowledge and skills in applying Pythagoras’ theorem and trigonometry to solve practical problems involving right-angled triangles.
Resource details -
WS01 - Mathematics assignment
Use this work sample to guide assessment of students' knowledge and skills in using mathematical modelling to solve problems involving quadratic functions numerically and graphically.
Resource details -
NESA - Differentiated programming
A brief overview of differentiated planning and programming, that outlines stratgeies teachers can consider students’ varying needs, interests, abilities, and prior learning.
Resource details