Please note: This site contains links to websites not controlled by the Australian Government or ESA. Read more in the Terms of Use.
reSolve: Algebra – sums and differences of squares
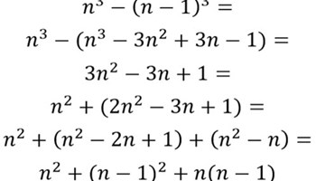
This sequence of three lessons explores sums and differences of two squares. Students are introduced to the historical context of using lookup tables for multiplications and challenged to investigate and generalise the underlying process using algebraic means. In subsequent lessons students use visual and algebraic methods that rely on the sums and differences of squares to determine factors and primality and use spreadsheets or coding to trial these methods. Each lesson is outlined in detail including curriculum links, materials needed, discussion points and student resources such as spreadsheets. This sequence is part of the reSolve: Mathematics by Inquiry program.
Additional details |
|
| Year level(s) | Year 9 |
|---|---|
| Audience | Teacher |
| Purpose | Teaching resource |
| Format | Downloadable resources |
| Teaching strategies and pedagogical approaches | Mathematics investigation |
| Keywords | binomials, difference of squares, distributivity |
Curriculum alignment |
|
| Strand and focus | Algebra, Build understanding, Apply understanding |
| Topics | Multiples, factors and powers, Algebraic expressions |
| AC: Mathematics (V9.0) content descriptions |
AC9M9A02
Simplify algebraic expressions, expand binomial products and factorise monic quadratic expressions |
| Numeracy progression |
Number patterns and algebraic thinking (P9)
|
Copyright details |
|
| Organisation | reSolve Maths by Inquiry |
| Copyright | © Australian Government Department of Education, Skills and Employment 2021. Creative Commons BY-NC-SA 4.0. |
Related resources
-
Quadratic functions (12 lessons)
In this sequence of 12 lessons, students complete a structured handout and check worked solutions to revise key quadratic skills including graph sketching.
Resource details -
Volume of a cylinder inquiry
This prompt will challenge students to explore their understanding of integers and the volume of cylinders.
Resource details -
Expanding brackets inquiry
A visual prompt investigating the array model.
Resource details -
Difference of two squares inquiry
This prompt encourages the exploration of the difference of two squares.
Resource details -
Difference of two cubes inquiry
The process of using common factors to factorise, solve and find the difference between quadratic equations.
Resource details -
Coordinates inquiry
Finding the distance between two points located on the cartesian plane using a range of strategies.
Resource details -
Area of a triangle inquiry
This prompt extends students' thinking about the area of a non-right-angled triangle.
Resource details