Please note: This site contains links to websites not controlled by the Australian Government or ESA. Read more in the Terms of Use.
Difference of two cubes inquiry
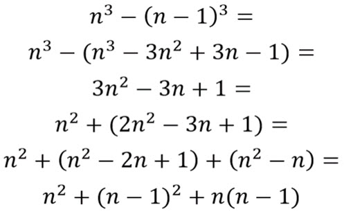
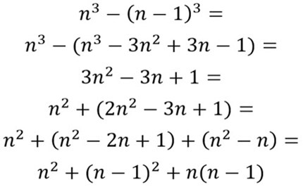
The lesson aims to challenge students through exploring their understanding of square numbers through solving quadratic equations. Students work collaboratively in teams, exploring the difference between sequences. The lesson is aimed to challenge students' thinking, encouraging them to explore how difference in cube numbers can alter an answer.
Additional details |
|
| Year level(s) | Year 9 |
|---|---|
| Audience | Teacher |
| Purpose | Extension, Student task, Teaching resource, Teaching strategies |
| Format | Downloadable resources |
| Teaching strategies and pedagogical approaches | Collaborative learning, Concrete Representational Abstract model, Differentiated teaching, Mathematics investigation, Setting goals, Structuring lessons, Worked examples |
| Keywords | cube numbers, square roots, quadratic sequence, linear sequence |
Curriculum alignment |
|
| Curriculum connections | Critical and creative thinking, Numeracy |
| Strand and focus | Algebra, Apply understanding, Number, Build understanding |
| Topics | Algebraic expressions, Addition and subtraction, Multiples, factors and powers, Multiplication and division, Operating with number |
| AC: Mathematics (V9.0) content descriptions |
AC9M9A02
Simplify algebraic expressions, expand binomial products and factorise monic quadratic expressions |
| Numeracy progression |
Number patterns and algebraic thinking (P9)
|
Copyright details |
|
| Organisation | Inquiry Maths |
| Copyright | © Andrew Blair 2012-21. Creative Commons BY-NC-SA 4.0. |
Related resources
-
Number and exponents (10 lessons)
In this sequence of 10 lessons, students develop their understanding of exponent laws, learn how to apply them, and interpret and solve errors in measurement.
Resource details -
Quadratic functions (12 lessons)
In this sequence of 12 lessons, students complete a structured handout and check worked solutions to revise key quadratic skills including graph sketching.
Resource details -
Volume of a cylinder inquiry
This prompt will challenge students to explore their understanding of integers and the volume of cylinders.
Resource details -
Expanding brackets inquiry
A visual prompt investigating the array model.
Resource details -
Coins inquiry
A lesson exploring the concept of probability using mathematical notation by flipping two and four coins.
Resource details -
Difference of two squares inquiry
This prompt encourages the exploration of the difference of two squares.
Resource details -
Coordinates inquiry
Finding the distance between two points located on the cartesian plane using a range of strategies.
Resource details